Monday, April 30, 2018

A Day in the Life of a Sub

(Click on the comic if you can't see the full image.)

(C)Copyright 2018, C. Burke.

The ironic thing is that as of today, I'll have the same classes for the remainder of the year.
But this is a typical occurrence just prior to period 1 before word gets around.

I've been putting this comic off for a while just because of the scale of it. I needed more students, and whereas the boys are mostly one of a couple of molds (I left out the younger looker students), I only had a couple of girls. Additionally, more students meant more diversity, but I'm not happy with the mostly identical female students. I make no secret about the "cut & paste" nature of my comic, and have even referred to it as a type of Colorforms, but there's only so much time I can spend on the background characters.

If there's ever a book of these things, this is one page that will need to be touched up.




Come back often for more funny math and geeky comics.




Sunday, April 29, 2018

Algebra 2 Problems of the Day

Daily Algebra 2 questions and answers.

More Algebra 2 problems.

August 2017, Part I

All Questions in Part I are worth 2 credits. No work need be shown. No partial credit.


1. The function f(x) = (x − 3) / (x2 + 2x - 8) is undefined when x equals
1) 2 or − 4
2) 4 or − 2
3) 3, only
4) 2, only

Answer: 1) 2 or − 4
A fraction is undefined when the denominator is equal to zero, so you need to know for what values of x is
(x2 + 2x - 8) = 0?
Factor the polynomial into (x + 4)(x - 2) = 0
The zeroes of this equation are -4 and 2, so f(x) is undefined at -4 and 2.





2. Which expression is equivalent to (3k − 2i)2, where i is the imaginary unit?
1) 9k2 − 4
2) 9k2 + 4
3) 9k2 − 12ki − 4
4) 9k2 − 12ki + 4

Answer: 3) 9k2 − 12ki − 4
(3k − 2i)2 = (3k - 2i)(3k - 2i) = 9k2 - 6ki - 6ki + 4i2
= 9k2 - 12ki - 4





3. The roots of the equation x2 + 2x + 5 = 0 are
1) -3 and 1
2) -1, only
3) -1 + 2i and -1 - 2i
4) -1 + 4i and -1 - 4i

Answer: 3) -1 + 2i and -1 - 2i
Using the Quadratic Formula, a = 1, b = 2, and c = 5.
The discriminant, b2 - 4ac, would be (2)2 - 4(1)(5) = 4 - 20 = -16.
This eliminates choices 1 and 2, as a negative discriminant means that there are no real roots to the equation.

x = (-b + (-16)^.5) / (2(a)) = (-2 + 4i ) / (2(1)) = -1 + 2i





Comments and questions welcome.

More Algebra 2 problems.

Saturday, April 28, 2018

Algebra 2 Problems of the Day (open-ended)

Continuing with daily Algebra 2 questions and answers.

More Algebra 2 problems.

January 2018, Part IV

This Question in Part IV is worth 6 credits. All work must be shown or explained for full credit. A correct numerical answer without work is only worth 1 credit.


37. The resting blood pressure of an adult patient can be modeled by the function P below, where P(t) is the pressure in millimeters of mercury after time t in seconds.

P(t) = 24cos(3πt) + 120

On the set of axes below, graph y = P(t) over the domain 0 ≤ t ≤ 2.

Determine the period of P. Explain what this value represents in the given context.

Normal resting blood pressure for an adult is 120 over 80. This means that the blood pressure oscillates between a maximum of 120 and a minimum of 80. Adults with high blood pressure (above 140 over 90) and adults with low blood pressure (below 90 over 60) may be at risk for health disorders. Classify the given patient’s blood pressure as low, normal, or high and explain your reasoning.

Answer:
The 3π means that the period is going to be 2π/3π, or 2/3. Note that there are six boxes between 0 and 1.
The 24 and 120 tell you that the maximum is going to be at 120 + 24 = 144 and the minimum is going to be 120 - 24 = 96.
Cosine tells that at 0, P(0) = 144, as will 2/3, 4/3, and 6/3 (or 2).
The minimums will occur at 1/3, 3/3 (or 1), and 5/3.
The function will equal 120 at each sixth in between the max and min: 1/6, 3/6, 5/6, 7/6, 9/6, and 11/6.

See the image below:

The patient's blood pressure is 144/96, which is more than 140/90, so he would be classified as having high blood pressure.



Comments and questions welcome.

More Algebra 2 problems.

Friday, April 27, 2018

Algebra 2 Problems of the Day (open-ended)

Continuing with daily Algebra 2 questions and answers.

More Algebra 2 problems.

January 2018, Part III

Questions in Part II are worth 4 credits. All work must be shown or explained for full credit. A correct numerical answer without work is only worth 1 credit.


35. In a random sample of 250 men in the United States, age 21 or older, 139 are married. The graph below simulated samples of 250 men, 200 times, assuming that 139 of the men are married.


a) Based on the simulation, create an interval in which the middle 95% of the number of married men may fall. Round your answer to the nearest integer.
b) A study claims “50 percent of men 21 and older in the United States are married.” Do your results from part a contradict this claim? Explain.

Answer:
The interval would be the mean minus twice the standard deviation to the mean plus twice the standard deviation.
138.905 - 2(7.950) to 138.905 + 2(7.950)
123.005 to 154.805
123 to 155 (please round correctly)

Fifty percent of the men in the survey would be 250 / 2 = 125, which falls between 123 and 155, so the claim is not contradicted by the results in part a because 123 < 125 < 155.



36. The graph of y = f(x) is shown below. The function has a leading coefficient of 1.


Write an equation for f(x).
The function g is formed by translating function f left 2 units. Write an equation for g(x).

Answer:
We have three zeroes: -4, 0, and 3. However, 0 is a double root because there's a local maximum on the x-axis. (The graph is obviously not cubic, as it goes up on both ends.)

An equation for this function is f(x) = (x + 4)(x2)(x - 3)
If you want to check, you can enter this into your graphing calculator, but be sure to adjust the scale. Notice that the y-axis has a scale of 10, while the x-axis has a scale of 1.

To find g, translate f by adding 2 to each of the factors.
g(x) = (x + 6)(x+2)2(x - 1)
Note: watch that you don't write "(x2 + 2)" by accident when you're copying your f function!

Alternative answer: Suppose you got f(x) = (x + 4)(x2)(x - 3), but you thought you had to multiply it. That's okay, as long as you multiplied it correctly.
(x + 4)(x - 3) = x2 -3x + 4x - 12 = x2 + x - 12
(x2 + x - 12)(x2) = x4 + x3 - 12x2

Using this approach, the easiest way to find g is to add the offset to each term, rather than adding 2 to each term and multiplying again!
g(x) = (x + 2)4 + (x + 2)3 - 12(x + 2)2



Comments and questions welcome.

More Algebra 2 problems.

Thursday, April 26, 2018

Algebra 2 Problems of the Day (open-ended)

Continuing with daily Algebra 2 questions and answers.

More Algebra 2 problems.

January 2018, Part III

Questions in Part II are worth 4 credits. All work must be shown or explained for full credit. A correct numerical answer without work is only worth 1 credit.


33.Given: f(x) = 2x2 + x - 3 and g(x) = x - 1
Express f(x) • g(x) - [f(x) + g(x)] as a polynomial in standard form.

Answer:
f(x) • g(x) = (2x2 + x - 3)(x - 1)
= 2x3 - 2x2 + x2 - x - 3x + 3
= 2x3 - x2 - 4x + 3

[f(x) + g(x)] = (2x2 + x - 3) + (x - 1)
= 2x2 + 2x - 4

f(x) • g(x) - [f(x) + g(x)] = 2x3 - x2 - 4x + 3 - [2x2 + 2x - 4]
= 2x3 - x2 - 4x + 3 - 2x2 - 2x + 4
= 2x3 - 3x2 - 6x + 7





34. A student is chosen at random from the student body at a given high school. The probability that the student selects Math as the favorite subject is 1/4. The probability that the student chosen is a junior is 116/459. If the probability that the student selected is a junior or that the student chooses Math as the favorite subject is 47/108, what is the exact probability that the student selected is a junior whose favorite subject is Math?

Are the events “the student is a junior” and “the student’s favorite subject is Math” independent of each other? Explain your answer.

Answer:
Given: P(M) = 1/4, P(J) = 116/459, and P(M or J) = 47/108.
P(M and J) = P(M) + P(J) - P(M or J)
P(M and J) = 1/4 + 116/459 - 47/108 = 0.06753812636
Use the calculators convert to Fraction function (Math 1. >FRAC), and you get 31/459.

If you didn't know how to convert to fraction on the calculator, then you needed to find a common denominator before doing all of the work. A decimal answer is no good because the exact probability is required.

The least common multiple of 459 and 108 is 1836, which is also divisible by 4. If you didn't know how to use the LCM function on the calculator, then you could have created tables of values for y = 108x and y = 459x to get all the multiples.

1/4 = 459/1836
116/459 = 464/1836
47/108 = 799/1836
(459 + 464 - 799) / 1836 = 124/1836 = 31/459.
If P(M) and P(J) are independent, then P(M) • P(J) = P(M and J)
(1/4)(116/459) ?= (31/459)
0.06318082788 =/= 0.06753812636
So the events are NOT independent.

Reminder: you need to explain something in words. You can't just show the multiplication (which is a "justification", but not an "explanation".)



Comments and questions welcome.

More Algebra 2 problems.

Wednesday, April 25, 2018

Algebra 2 Problems of the Day (open-ended)

Continuing with daily Algebra 2 questions and answers.

More Algebra 2 problems.

January 2018, Part II

Questions in Part II are worth 2 credits. All work must be shown or explained for full credit. A correct numerical answer without work is only worth 1 credit.


31.The zeros of a quartic polynomial function h are 1, +2, and 3.
Sketch a graph of y = h(x) on the grid below.

Answer:
They are asking for a "sketch", not an exact graph, because they did not give you the actual function. There are an infinite number of quartic (fourth power) graphs that have these zeroes.
You can enter the following into your graphing calculator to see an example:

y = (x + 2)(x + 1)(x - 2)(x - 3)

You can also multiply that by any coefficient, positive or negative. As always, a positive multiplier means that the graph opens upward, and a negative means that it will open downward. Either is acceptable.
Here is one possible answer:

Note that you needed to have the zeroes in the correct places for full credit. If you flipped the signs, for example, you would lose a credit.



32. 2 Explain why 813/4 equals 27.

Answer:

The fourth root of 81 is 3 and 3 to the third power is 27.
You can write it as 81 = (3 * 3 * 3 * 3)3/4 = (3 * 3 * 3) = 27 and add an explanation.

Reminder "Explain" means that you have to write words to "explain" (sorry about the repetition, except that I'm not). "Justify" means that you can just write equations as proof, but "explain" means at least a sentence.



Comments and questions welcome.

More Algebra 2 problems.

Tuesday, April 24, 2018

Algebra 2 Problems of the Day (open-ended)

Continuing with daily Algebra 2 questions and answers.

More Algebra 2 problems.

January 2018, Part II

Questions in Part II are worth 2 credits. All work must be shown or explained for full credit. A correct numerical answer without work is only worth 1 credit.


29. Researchers in a local area found that the population of rabbits with an initial population of 20 grew continuously at the rate of 5% per month. The fox population had an initial value of 30 and grew continuously at the rate of 3% per month.
Find, to the nearest tenth of a month, how long it takes for these populations to be equal.

Answer:
The equation for rabbit population is y = 20e.05x.
The equation for fox population is y = 30e.03x.
Set them equal to each other 20e.05x = 30e.03x
Divide by 30: (20/30)e.05x = e.03x
Divide by the e term: (2/3) = (e.03x)/(e.05x)
Simplify the exponent: 2/3 = e-.02x
ln (2/3) / -.02 = -.02x / -.02
20.273... = x
20.3 months.

You also could have graphed the two equations, found the point of intersection, record that point of intersection on your exam paper as an ordered pair, and then state the answer of 20.3 months based on the x coordinate.



30. Consider the function h(x) = 2sin(3x) + 1 and the function q represented in the table below.


Determine which function has the smaller minimum value for the domain [-2,2]. Justify your answer.

Answer:
The minimum for q(x) is -8, according to the table. You don't need to work out what the equation is.
The minimum for h(x) is -1. You don't need to explain how you know this as it would likely be assumed that you got it from the calculator, or you just knew that y = 2 sin(3x) has a minimum of -2 and a maximum of 2, so if you add 1 to those numbers, the minimum is -1.
So q(x) has the smaller minimum. Don't forget to mention this. It isn't enough to just state the two minimums. But you DO need to state the two minimums.



Comments and questions welcome.

More Algebra 2 problems.

Monday, April 23, 2018

Boyfriend

(Click on the comic if you can't see the full image.)

(C)Copyright 2018, C. Burke.

Because it is a high school, and these things happen, even when I can't work math into it.




Come back often for more funny math and geeky comics.




Algebra 2 Problems of the Day (open-ended)

Continuing with daily Algebra 2 questions and answers.

More Algebra 2 problems.

January 2018, Part II

Questions in Part II are worth 2 credits. All work must be shown or explained for full credit. A correct numerical answer without work is only worth 1 credit.


27.A formula for work problems involving two people is shown below.

1/t1 + 1/t2 = 1/tb
t1 = the time taken by the first person to complete the job
t2 = the time taken by the second person to complete the job
tb = the time it takes for them working together to complete the job

Fred and Barney are carpenters who build the same model desk. It takes Fred eight hours to build the desk while it only takes Barney six hours. Write an equation that can be used to find the time it would take both carpenters working together to build a desk.
Determine, to the nearest tenth of an hour, how long it would take Fred and Barney working together to build a desk.

Answer:
The equation needed to solve this would be

1/8 + 1/6 = 1/tb or 1/8 + 1/6 = 1/x

Once you have this, you can solve for x (or tb).

3/24 + 4/26 = 1/x
7/24 = 1/x
x = 24/7 = 3.428571... = 3.4 hours

Alternatively, multiply the entire equation by (8)(6)(x) to eliminate the fractions:

(8)(6)(x)(1/8) + (8)(6)(x)(1/6) = (8)(6)(x)(1/x)
6x + 8x = 48
14x = 48
x = 48 / 14 = 3.4 hours.

Also of note, whoever wrote this questions obviously likes The Flintstones.



28.Completely factor the following expression:

x2 + 3xy + 3x3 + y

Answer:
First, rewrite the expression as 3x3 + x2 + 3xy + y
Factor by grouping: x2(3x + 1) + y(3x + 1)
Factor again: (x2 + y)(3x + 1)



Comments and questions welcome.

More Algebra 2 problems.

Sunday, April 22, 2018

Algebra 2 Problems of the Day (open-ended)

Continuing with daily Algebra 2 questions and answers.

More Algebra 2 problems.

January 2018, Part II

Questions in Part II are worth 2 credits. All work must be shown or explained for full credit. A correct numerical answer without work is only worth 1 credit.
Elizabeth tried to find the product of (2 + 4i) and (3 - i), and her work is shown below.


(2 + 4i)(3 - i)
= 6 - 2i + 12i - 4i2
= 6 + 10i - 4i2
= 6 + 10i - 4(1)
= 6 + 10i - 4
= 2 + 10i

Identify the error in the process shown and determine the correct product of (2 + 4i) and (3 - i).

Answer:
Elizabeth replaced i2 with 1 instead of -1.
The correct answer is:


= 6 + 10i - 4(-1)
= 6 + 10i + 4
= 10 + 10i




26.A runner is using a nine-week training app to prepare for a “fun run.” The table below represents the amount of the program completed, A, and the distance covered in a session, D, in miles.

Based on these data, write an exponential regression equation, rounded to the nearest thousandth, to model the distance the runner is able to complete in a session as she continues through the nine-week program.

Answer:

Enter the data into two lists (L1 and L2, most likely). Check for errors.
Go to STAT, CALC and select ExpReg.
You should get the following output:
y = a*b^x
a = 1.223034549
b = 2.652024589
Round these numbers to the nearest thousandth. (You will lose a point if you do not round correctly.)
y = 1.223(2.652)x.
You could have used A for x and D for y in your answer.



Comments and questions welcome.

More Algebra 2 problems.

Saturday, April 21, 2018

Algebra 2 Problems of the Day

Continuing with daily Algebra 2 questions and answers.

More Algebra 2 problems.

January 2018
23. If the function g(x) = acx represents exponential growth, which statement about g(x) is false?

(1) a > 0 and b > 1
(2) The y-intercept is (0, a).
(3) The asymptote is y = 0.
(4) The x-intercept is (b, 0).

Answer: (4) The x-intercept is (b, 0).
The function has no x-intercept. And when x = b, then g(x) = abb, not 0.
Note that choice (3) and (4) are mutually exclusive, so one of them has to be false.
Since it is exponential growth, a > 0 and b > 1. And when x = 0, g(x) = ab0 = a.



24.At her job, Pat earns $25,000 the first year and receives a raise of $1000 each year. The explicit formula for the nth term of this sequence is an = 25,000 + (n - 1)1000. Which rule best represents the equivalent recursive formula?
(1) an = 24,000 + 1000n
(2) an = 25,000 + 1000n
(3) a1 = 25,000, an - 1 + 1000
(4) a1 = 25,000, an + 1 + 1000

Answer: (3) a1 = 25,000, an - 1 + 1000
In the recursive formula, each term is the sum of the term before it (an-1) plus 1000, which is choice (3).
Note that choices (1) and (2) are not recursive formulas.



Comments and questions welcome.

More Algebra 2 problems.

Friday, April 20, 2018

Algebra 2 Problems of the Day

Continuing with daily Algebra 2 questions and answers.

More Algebra 2 problems.

January 2018
21. What is the inverse of f(x) = -6(x - 2)?

(1) f-1(x) = -2 - x/6
(2) f-1(x) = 2 - x/6
(3) f-1(x) = 1 / (-6(x - 2))
(4) f-1(x) = 6(x - 2)

Answer: (2) f-1(x) = 2 - x/6
Inverse operations. Divide by negative six, then add two.
x = -6(f-1(x) - 2)
x / (-6) = f-1(x) - 2
2 - x/6 = f-1(x).



22. Brian deposited 1 cent into an empty non-interest bearing bank account on the first day of the month. He then additionally deposited 3 cents on the second day, 9 cents on the third day, and 27 cents on the fourth day. What would be the total amount of money in the account at the end of the 20th day if the pattern continued?
(1) $11,622,614.67
(2) $17,433,922.00
(3) $116,226,146.80
(4) $1,743,392,200.00

Answer: (2) $17,433,922.00
Do not answer the 20th term in the geometric sequence. They are looking for the sum of the first 20 terms.
The formula for finding the sum of the first n terms in a geometric sequence is

Sn = (a1(1 - rn)) / (1 - r),

where n is the number of terms, r is the common ratio, and a1 is the initial term.
In this question, the common ratio is 3, because the sequence goes 1, 3, 9, 27 ...
So the sum is (1 * (1 - 320)/(1 - 3) = 1743392200, which is the number of cents. Divide this by 100 to convert it to dollars, or $17,433,922.00.
Alternatively, you could have used .01 for the initial term in the formula, which would have given you the answer immediately.



Comments and questions welcome.

More Algebra 2 problems.

Thursday, April 19, 2018

Algebra 2 Problems of the Day

Continuing with daily Algebra 2 questions and answers.

More Algebra 2 problems.

January 2018
19. If p(x) = 2x3 - 3x + 5, what is the remainder of p(x) : (x - 5)?

(1) -230
(2) 0
(3) 30
(4) 240

Answer: (4) 240
The Polynomial Remainder Theorem tells us that is p(x) is divided by (x - r), then the remainder, R, can be found by evaluating p(r).
If (x - 5) is a factor of p(x), then when x = 5, p(x) would = 0. If it is not a factor, then the value of p(5) will be the remainder when you divide the polynomials.
If you calculate p(5), you will get 2(5)3 - 3(5) + 5 = 240, which is the remainder.
Alternatively, if you forgot this, you can do the polynomial division. This will give you 240 as a remainder. See the image below:





20. The results of simulating tossing a coin 10 times, recording the number of heads, and repeating this 50 times are shown in the graph below.

Based on the results of the simulation, which statement is false?
(1) Five heads occurred most often, which is consistent with the theoretical probability of obtaining a heads.
(2) Eight heads is unusual, as it falls outside the middle 95% of the data.
(3) Obtaining three heads or fewer occurred 28% of the time.
(4) Seven heads is not unusual, as it falls within the middle 95% of the data.

Answer: (2) Eight heads is unusual, as it falls outside the middle 95% of the data.
Eight does not fall outside the middle 95% of the data. There are 50 data points, so 47.5 pieces of data are in the middle, leaving 2.5 / 2 = 1.25 pieces of data more than two standard deviations above and below the mean. But there are two results greater than 8, so it's not outside of the middle 95%.



Comments and questions welcome.

More Algebra 2 problems.

Wednesday, April 18, 2018

Algebra 2 Problems of the Day

Continuing with daily Algebra 2 questions and answers.

More Algebra 2 problems.

January 2018
17. The function below models the average price of gas in a small town computations. since January 1st.
G(t) = -0.0049t4 + 0.0923t3 - 0.56t2 + 1.166t + 3.23, where 0 ≤ t ≤ 10.

If G(t) is the average price of gas in dollars and t represents the number of months since January 1st, the absolute maximum G(t) reaches over the given domain is about

(1) $1.60
(2) $3.92
(3) $4.01
(4) $7.73

Answer: (3) $4.01
Graph the function and use "maximum" to find the highest value, which you should see is just above $4.00.
See the graph below:

At approximately t = 1.6, G(t) = 4.01, approximately.



18. Written in simplest form, (c2 - d2) / (d2 + cd - 2c2), where c =/= d, is equivalent to
(1) (c + d) / (d + 2c)
(2) (c - d) / (d + 2c)
(3) (-c - d) / (d + 2c)
(4) (-c + d) / (d + 2c)

Answer: (3) (-c - d) / (d + 2c)
The numerator, (c2 - d2), is the difference of two perfect squares, and factors into the conjugates, (c + d)(c - d).
Note that all four choices have (d + 2c) as the denominator, which makes factoring (d2 + cd - 2c2) that much easier into (d + 2c)(d - c).
(c - d) / (d - c) = -1, which reduces the fraction to (-1)(c + d) / (d + 2c).
Distribute the -1, and you get choice (3).



Comments and questions welcome.

More Algebra 2 problems.

Tuesday, April 17, 2018

E-mote

(Click on the comic if you can't see the full image.)

(C)Copyright 2018, C. Burke.

They're irrational, you know.

I remember when they were just ''smileys''. Then ''emoticons'' (emote icons). Finally, ''emoji''. Like ''Gojira'' instead of ''Godzilla''.




Come back often for more funny math and geeky comics.




Algebra 2 Problems of the Day

Algebra 2 is not my usual subject, but I do get asked about the problems occasionally. So I've decided to run a couple of Regents problems daily for a while. If there's a positive reaction (or at least, a lack of negative reaction), I may continue it.

More Algebra 2 problems.

January 2018
15. The terminal side of θ, an angle in standard position, intersects the unit circle at P(-1/3, -sqrt(8)/3). What is the value of sec θ?

(1) -3
(2) -3*sqrt(8)/8
(3) -1/3
(4) -sqrt(8)/3

Answer: (1) -3
The coordinates of P are (cos θ, sin θ)
sec θ = 1 / cos θ
cos θ = -1/3
sec θ = 1 / (-1/3) = -3





16. What is the equation of the directrix for the parabola -8(y - 3) = (x + 4)2?

(1) y = 5
(2) y = 1
(3) y = -2
(4) y = -6

Answer: (1) y = 5
When the parabola is written in this form -- (x − p)2=±4a(y−q) -- then (p,q) will be the vertex and a is the focus length. In other words, the distance in one direction from the vertex will be the focus, and in the other direction will be the directrix.

The vertex is (-4, 3) and the focal length is 2. The negative tells us that the parabola is opening down, so the directrix is 2 units above the vertex, which is y = 5.



Comments and questions welcome.

More Algebra 2 problems.

Monday, April 16, 2018

Algebra 2 Problems of the Day

Algebra 2 is not my usual subject, but I do get asked about the problems occasionally. So I've decided to run a couple of Regents problems daily for a while. If there's a positive reaction (or at least, a lack of negative reaction), I may continue it.

More Algebra 2 problems.

January 2018
13. If aebt = c, where a, b, and c are positive, then t equals

Answer: (3) ln(c/a) / b
You start with: aebt = c
Divide both sides by a: ebt = c/a
Take the natural log: ln(ebt) = ln(c/a)
which gives you: bt = ln(c/a)
Divide by b: t = ln(c/a) / b.



14. For which values of x, rounded to the nearest hundredth, will |x2 - 9| - 3 = log3x?

(1) 2.29 and 3.63
(2) 2.37 and 3.54
(3) 2.84 and 3.17
(4) 2.92 and 3.06

Answer: (1) 2.29 and 3.63
If you graph the system: y = |x2 - 9| - 3 and y = log(x)/log(3), you can use the intersection function the points of intersection (2.29, 0.754) and (3.63, 1.173).
Use (2nd)(CALC), option (5)Intersect and hit ENTER three times.
Or you can graph log(x)/log(3) - |x2 - 9| + 3, and look for the zeroes.
Use (2nd)(CALC), option (2)Zero.

Given that this is a multiple choice question, you could also use a list of information and enter that last equation into the calculator to see which gives you zero -- or very close to zero, because we have approximate answers. Be careful, though, because there's a lot of information to enter and typos happen.



Comments and questions welcome.

Sunday, April 15, 2018

Algebra 2 Problems of the Day

Algebra 2 is not my usual subject, but I do get asked about the problems occasionally. So I've decided to run a couple of Regents problems daily for a while. If there's a positive reaction (or at least, a lack of negative reaction), I may continue it.

More Algebra 2 problems.

January 2018
11. If n = sqrt(a5) and m = a, where a > 0, an expression n/m could be

(1) a5/2
(2) a4
(3) (a2)1/3
(4) (a3)1/2
See image below

Answer: (4) (a3)1/2
The square root of a value is the same as raising it to a power of 1/2, so n can be expressed as a5/2.
Also, m can be expressed as a1.
This means that n/m is the same as (a5/2)/a1.
When dividing, keep the base, subtract the exponents: a(5/2 - 1) = a(3/2)
A fractional exponent of 3/2 would mean take the square root of the third power, which is choice (4).



12. The solutions to x + 3 - (4 / (x - 1) ) = 5 are


Answer: (1) 3/2 + sqrt(17)/2
Follow the logic in the image:


Subtract 5 from each side, then add (4 / (x - 1)) to each side.
This will set up a rational equation. Multiply both sides by (x - 1) -- or "cross-multiply", if you prefer.
Multiply the binomials, then set up the quadratic equation to solve.
Use the Quadratic Formula to find the roots. Note that you have a positive discriminant, so the roots are real, and there is no "i" in the answer.
If you split the file fraction, you get choice (1).



Comments and questions welcome.

Saturday, April 14, 2018

Algebra 2 Problems of the Day

Algebra 2 is not my usual subject, but I do get asked about the problems occasionally. So I've decided to run a couple of Regents problems daily for a while. If there's a positive reaction (or at least, a lack of negative reaction), I may continue it.

More Algebra 2 problems.

January 2018
9. What is the quotient when 10x3 - 3x2 - 7x + 3 is divided by 2x - 1?

(1) 5x2 + x + 3
(2) 5x2 - x + 3
(3) 5x2 - x - 3
(4) 5x2 + x - 3

Answer: (4) 5x2 + x - 3
First of all, if you divide +3 by -1, the result must be -3, so we can eliminate choices (1) and (2).
Since it's multiple choice, it might be easier just to multiply the two remaining choices by 2x - 1 to see which one works. As they only differ by one sign, it should be quick to do, as shown in the image below:


As you can see, +x gives you +2x2, which when added to the -5x2 in the first column, makes a total of -3x2. So the correct answer is choice (4).

If you wanted to divide (after eliminating the two bad choices), 2x - 1 goes into (10x3 - 3x2), 5x2 times.
(10x3 - 3x2) - (10x3 - 5x2) = 2x2
Bring down the next term, -7x. At this point, you will notice that 2x goes into (2x2), +x times, not -x times. You now have enough information to answer the question.



10. Judith puts $5000 into an investment account with interest compounded continuously. Which approximate annual rate is needed for the account to grow to $9110 after 30 years?

(1) 2%
(2) 2.2%
(3) 0.02%
(4) 0.022%

Answer: (1) 2%
You can check each rate to see which gives you $9110 after 30 years, or you can work backward to solve it.
Use the Continuously Compounded Interest formula A = Pert
9100 = 5000e30r
(9100/5000) = e30r
ln(9100/5000) = ln(e30r)
ln(9100/5000) = 30r
ln(9100/5000)/30 = r
r = 0.0199978..., which is approximately 0.02, or 2%.



Comments and questions welcome.

Friday, April 13, 2018

Algebra 2 Problems of the Day

Algebra 2 is not my usual subject, but I do get asked about the problems occasionally. So I've decided to run a couple of Regents problems daily for a while. If there's a positive reaction (or at least, a lack of negative reaction), I may continue it.

January 2018
7. 7 There are 440 students at Thomas Paine High School enrolled in U.S. History. On the April report card, the students’ grades are approximately normally distributed with a mean of 79 and a standard deviation of 7. Students who earn a grade less than or equal to 64.9 must attend summer school. The number of students who must attend summer school for U.S. History is closest to

(1) 3
(2) 5
(3) 10
(4) 22

Answer: (3) 10.
If the standard deviation is 7, then 72 is one standard deviation from the mean, and 65 is two standard deviations from the mean. So anyone who scored 64.9 or lower had a score more than 2 standard deviations away from the mean. That would be approximately 2.3% of the 440 students, which is .023 * 440 = 10.12, or about 10.



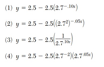
8. For a given time, x, in seconds, an electric current, y, can be represented by
y = 2.5(1 - 2.7-10x). Which equation is not equivalent?


Answer: (4)
In each of the four choices, the 25 has been distributed. The Distributive Property gives you choice (1), so eliminate that. In choice (2), you would multiply the exponents (2) and (-.05x) because you have a power of a power, and that gives you -.10x again, so this can be eliminated. Choice (3) removes the negative by inverting the number into its reciprocal, which is what a negative exponent does, so this is eliminated. Choice (4), the only one remaining, shows the product of two expressions with the same base, but the rule would be the add the exponents, not multiply them.

Adding the exponents in choice (4) would yield (-2 + .05x), not (-10x). Choice (4) is not equivalent.



Comments and questions welcome.

Thursday, April 12, 2018

Algebra 2 Problems of the Day

Algebra 2 is not my usual subject, but I do get asked about the problems occasionally. So I've decided to run a couple of Regents problems daily for a while. If there's a positive reaction (or at least, a lack of negative reaction), I may continue it.

More Algebra 2 problems.

January 2018
5. A certain pain reliever is taken in 220 mg dosages and has a half-life of 12 hours. The function A = 220(1/2)t/12 can be used to model this situation, where A is the amount of pain reliever in milligrams remaining in the body after t hours.
According to this function, which statement is true?

(1) Every hour, the amount of pain reliever remaining is cut in half.
(2) In 12 hours, there is no pain reliever remaining in the body.
(3) In 24 hours, there is no pain reliever remaining in the body.
(4) In 12 hours, 110 mg of pain reliever is remaining.

Answer: (4) In 12 hours, 110 mg of pain reliever is remaining.
Substitute 12 for t, and the exponent becomes (12/12), which is 1. 220 times (1/2) is 110 mg. Even without doing any math, you are told in the question that the pain reliever has a "half-life of 12 hours" -- meaning that in 12 hours, there will be half as much, which is 110.
Choice (1) is incorrect because of the fraction in the exponent. Had the exponent been simply t, then Choice (1) would have been correct. Choices (3) and (4) can be eliminated because exponential decay will not go to zero.



6. The expression (x + a)(x + b) can not be written as

(1) a(x + b) + x(x + b)
(2) x2 + abx + ab
(3) x2 + (a + b)x + ab
(4) x(x + a)+ b(x + a)

Answer: (2) x2 + abx + ab
The coefficient for the middle term will be the sum of a and b (as in Choice (3)), not their product.
If you use the Distributive Property on choices (1), (3) and (4), you will get x2 + ax + bx + ab in each case.



Comments and questions welcome.

Twisted System

(Click on the comic if you can't see the full image.)

(C)Copyright 2018, C. Burke.

Each individual line is asymptoted. It's more of a protest song.




Come back often for more funny math and geeky comics.




Wednesday, April 11, 2018

Algebra 2 Problems of the Day

Algebra 2 is not my usual subject, but I do get asked about the problems occasionally. So I've decided to run a couple of Regents problems daily for a while. If there's a positive reaction (or at least, a lack of negative reaction), I may continue it.

More Algebra 2 problems.

January 2018
3. For the system shown below, what is the value of z?


y = -2x + 14
3x - 4z = 2
3x - y = 16

(1) 5
(2) 2
(3) 6
(4) 4

Answer: (4) 4
Substitute -2x + 14 for y in the 3rd equation
3x - (-2x + 14) = 16
3x + 2x - 14 = 16
5x = 30
x = 6
Substitute 6 for x in the 2nd equation
3(6) - 4z = 2
18 - 4z = 2
-4z = -16
z = 4



4. The hours of daylight, y, in Utica in days, x, from January 1, 2013 can be modeled by the equation y = 3.06 sin(0.017x - 1.40) + 12.23. How many hours of daylight, to the nearest tenth, does this model predict for February 14, 2013?
(1) 9.4
(2) 10.4
(3) 12.1
(4) 12.2

Answer: (2) 10.4
February 1 is 31 days after January 1. February 14 is 13 days after February 1. So 31 + 13 = 44.
3.06 sin(0.017(44) - 1.40) + 12.23 = 10.3733...
Make sure the calculator is in radians mode, not degree mode (which would give you 12.1952 ... sneaky!)


EDIT: fixed missing decimal point, which was a typo that didn't affect the answer.



Comments and questions welcome.

Tuesday, April 10, 2018

Algebra 2 Problems of the Day

Algebra 2 is not my usual subject, but I do get asked about the problems occasionally. So I've decided to run a couple of Regents problems daily for a while. If there's a positive reaction (or at least, a lack of negative reaction), I may continue it.

More Algebra 2 problems.

January 2018
1. The operator of the local mall wants to find out how many of the computations. mall’s employees make purchases in the food court when they are working. She hopes to use these data to increase the rent and attract new food vendors. In total, there are 1023 employees who work at the mall. The best method to obtain a random sample of the employees would be to survey
(1) all 170 employees at each of the larger stores
(2) 50% of the 90 employees of the food court
(3) every employee
(4) every 30th employee entering each mall entrance for one week

Answer: (4)
The only one of the choices that has a random element to it is the last one: every 30th employee who works at the mall. Notice that choices (1) and (2) only survey people working in certain location, leaving out the rest. "Every employee" is a terrible way to get a "sample".



2. What is the solution set for x in the equation below?


(1) {1}
(2) {0}
(3) {-1,0}
(4) {0,1}

Answer: (3) {-1, 0}
If you try each of the solution sets, you will quickly see that {1} is bad, so (1) and (4) are eliminated, and {0} is good. Next check {-1}, which is also good.

If you needed to actually solve it, as you might in part II, solve for x, as in the image below.
Move the -1 to the other side of the equation. Square both sides. Move the x + 1 to the other side of the equation, leaving 0. Factor the quadratic on the right side.





Comments and questions welcome.

Monday, April 09, 2018

Exterminate

(Click on the comic if you can't see the full image.)

(C)Copyright 2018, C. Burke.

Yes, anyone who knows me, knows I telegraphed a Doctor Who pun just by the title.




Come back often for more funny math and geeky comics.




Friday, April 06, 2018

Sets: The More You Know

(Click on the comic if you can't see the full image.)

(C)Copyright 2018, C. Burke.

~A: So much to learn




Come back often for more funny math and geeky comics.




Thursday, April 05, 2018

January 2018 Common Core Geometry Regents, Parts 3 and 4 (open-ended)

The following are some of the multiple questions from the recent January 2018 New York State Geometry Regents exam.
The questions and answers to Part I can be found here.
The questions and answers to Part II can be found here.

January 2018 Geometry, Part III

Each correct answer is worth up to 4 credits. Partial credit is available. Work must be shown. Correct answers without work receive only 1 point.


32. Triangle ABC and triangle ADE are graphed on the set of axes below.


Describe a transformation that maps triangle ABC onto triangle ADE.
Explain why this transformation makes triangle ADE similar to triangle ABC

Answer: Triangle ABC is dilated by a scale factor of 3 centered on point A.
You can see that to get from A to B, you go 4 units up and 1 to the right. To go from A to D, you go 12 units up and 3 to the right. That is three times the distance. (This explanation is not needed for credit.)
Dilations preserve the shape, so angle size is preserved. Therefore, angle ABC is congruent to angle ADE, and angle ACB is congruent to angle AED. Also, angle A is congruent to itself. By AA, triangle ABC is similar to triangle ADE.


33. A storage tank is in the shape of a cylinder with a hemisphere on the top. The highest point on the inside of the storage tank is 13 meters above the floor of the storage tank, and the diameter inside the cylinder is 8 meters. Determine and state, to the nearest cubic meter, the total volume inside the storage tank.

Answer: The radius of the cylinder is 1/2 of 8m, which is 4m, so the radius of the hemisphere is 4m, too.
This means that the height of the cylinder portion of the tank is 13 - 4 = 9m.
Volume of the cylinder = Area of Base X Height = (3.141592...)(4)2(9) (Note: do NOT use 3.14.)
Volume of the cylinder = 452.389342116...
Volume of the hemisphere = (1/2)(4/3)(3.141592...)(4)3 = 134.041286553
Total Volume = 452.39 + 134.04 = 586.43 = 586 m3. (Units are not necessary, but if included, MUST be correct.)


34. As shown in the diagram below, an island (I) is due north of a marina (M). A boat house (H) is 4.5 miles due west of the marina. From the boat house, the island is located at an angle of 54° from the marina.


Determine and state, to the nearest tenth of a mile, the distance from the boat house (H) to the island (I).
Determine and state, to the nearest tenth of a mile, the distance from the island (I) to the marina (M).

Answer: In the first part, you need to find the hypotenuse of the triangle. You are given the side adjacent to the given angle. Adjacent and hypotenuse mean that you need to use cosine.
cos 54 = 4.5/x
Then x = 4.5/(cos 54) = 7.65585727517 = 7.7.
In the second part, you can use either the tangent ratio or you can use Pythagorean Theorem. The problem with Pythagorean Theorem is that if you use 7.7 then you will not get the correct answer because you have rounded the data in the middle of the problem. (Using, say, 7.6559, for example, should be enough.)
tan 54 = y/4.5
Then y = (4.5)(tan 54) = 6.19371864212 = 6.2


Part IV

A correct answer is worth up to 6 credits. Partial credit is available.

35. In the coordinate plane, the vertices of triangle PAT are P(-1,-6), A(-4,5), and T(5,-2). Prove that triangle PAT is an isosceles triangle. [The use of the set of axes is optional.]
State the coordinates of R so that quadrilateral PART is a parallelogram.

Answer: To show that a triangle is isosceles, you must show that the length of two of its sides are the same. Use the distance formula three times to find the lengths of PA, AT and TP.

d(PA) = ( (-4 - -1)2 + (5 - -6)2 )(1/2)) = ( (-3)2 + (11)2 )(1/2)) = (9 + 121)(1/2)) = (130)(1/2))

d(AT) = ( (5 - -4)2 + (-2 - 5)2 )(1/2)) = ( (9)2 + (-7)2 )(1/2)) = (81 + 49)(1/2)) = (130)(1/2))

d(TP) = ( (-1 - 5)2 + (-6 - -2)2 )(1/2)) = ( (-6)2 + (-4)2 )(1/2)) = (36 + 16)(1/2)) = (52)(1/2))
Since PA and AT are the same length, triangle PAT is isosceles

Finding the coordinates of R is fairly simple using the grid. PA must to parallel and congruent to RT.
To go from P to A, move 3 units to the left and 11 units up.
From point T, go 3 units left and 11 units up and you get R(5-3, -2+11) = R(2, 9).

End of Exam

How did you do?
Comments and corrections welcome. (I get many of the latter!)

Wednesday, April 04, 2018

No Buts About It

(Click on the comic if you can't see the full image.)

(C)Copyright 2018, C. Burke.

Or just a simple set up.

Mathematically, AND and BUT are the same thing.

I meant to do my homework BUT I forgot.

I meant to do my homework AND I forgot.




Come back often for more funny math and geeky comics.




Sunday, April 01, 2018

Happy Easter 2018

(Click on the comic if you can't see the full image.)

(C)Copyright 2018, C. Burke.

Like mother, like son, like licorice.




Come back often for more funny math and geeky comics.